Acceder
Blog Opciones desde cero
Blog Opciones desde cero

Blog Opciones desde cero

opciones de la alpha hasta la theta
119 suscriptores
Cinco estrategias para comenzar a invertir con opciones
Invertir usando opciones financieras, muchas veces queda destinado para inversores con conocimientos avanzados.Las opciones como cualquier otro derivado, no están exentos de riesgos y hay que entender su funcionamiento para poder operar con ellas, ya sea para utilizarlas como herramienta de cobertura o para operar buscando beneficios con ellas. 
Opciones E-Mini SP500, ¿Qué son y cómo funcionan?
En este artículo explicaremos qué son y cómo funcionan las opciones E-Mini SP500, uno de los derivados más exitosos de los últimos años debido a su mayor facilidad de negociación por sus requisitos más laxos. ¿Qué es el SP 500?El S&P 500 es un índice bursátil de las 500 empresas más...
Las opciones son derivados financieros en los que el precio (prima) depende del precio del activo subyacente. Originalmente las opciones fueron creadas para la cobertura y tanto la call cubierta como la put protectora pretenden proteger la posición tomada en el activo subyacente.
Opciones: relación entre precio subyacente y precio de ejercicio
La moneyness de las opciones financieras mide la distancia entre el precio del subyacente y el precio de ejercicio (Strike) y según la distancia entre estos dos precios, el del subyacente y el de ejercicio, podemos clasificar las opciones en tres categorías.
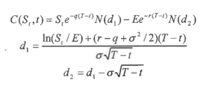
¿Cómo se determina la prima de una opción?
La prima de una opción se determina por el valor que toman seis variables: Precio actual del subyacente (S): Precio del activo del cual depende la opción, Precio de Ejercicio (E), Volatilidad del subyacente (o), Tiempo al vencimiento (T-t), Tipo de interés libre de riesgo (r) y Dividendos pagados por el subyacente (q).
Rankiano desde hace alrededor de 23 años

Portavoz oficial de la empresa editora de este sitio web Rankia