Acceder

Seguimiento del Alcalá Multigestión Oricalco FI

31 respuestas
Seguimiento del Alcalá Multigestión Oricalco FI
Seguimiento del Alcalá Multigestión Oricalco FI
Debe identificarse como usuario para acceder
Página
1 / 3
#1

Seguimiento del Alcalá Multigestión Oricalco FI

Viendo un poco los rankings de rentabilidad a un año me ha sorprendido encontrar este fondo Alcalá Multigestión Oricalco FI. Me he puesto a investigar un poco porque me ha causado mucha curiosidad su cartera y era bastante desconocido para mí.

Código ISIN: ES0107696017
Fecha de registro del compartimento: 15/11/2019
Categoría: Fondo de Inversión. GLOBAL
Política de inversión: No existe índice de referencia en la gestión ya que el compartimento se gestiona de manera activa y flexible, estando basada la toma de
decisiones de inversión en el análisis técnico (estudia los movimientos de las cotizaciones a través de gráficos e indicadores técnicos)
y el stock picking (selección de valores).

¿Quién lo asesora? DRIEMUT, S. L

Curioso ya que cuando buscamos en el BOE esta SL aparece a nombre de Diego Bernabeu Ugarte que tiene cargos en el sector del vino de la Rioja pero no encontre más información sobre el mismo.

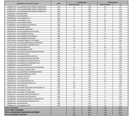
Cartera bastante peculiar y expuesta a bitcoin, mirad la misma según Morningstar y según el informe en la CNMV






Como curiosidad una de sus principales posiciones es una sicav denominada Data income Sicav 21

Entre tres partícipes tienen casi el 80% del fondo (info CNMV)
a.) Existe un Partícipe significativo con un volumen de inversión de 211.723,71 euros que supone el 20,91% sobre el
patrimonio de la IIC.
a.) Existe un Partícipe significativo con un volumen de inversión de 211.723,72 euros que supone el 20,91% sobre el
patrimonio de la IIC.
a.) Existe un Partícipe significativo con un volumen de inversión de 463.186,39 euros que supone el 45,73% sobre el
patrimonio de la IIC.


Buscando información sobre Data income Sicav 21 encontramos lo siguiente
  • En 2019 se denominaba FUENTE DEL FRESNO INVERSIONES SICAV
Si miramos su cartera de inversiones ya nos explota la cabeza: puro deep value




Es curioso también que a pesar del rendimiento obtenido ha sufrido fuertes reembolsos con sus respectivos avisos a la CNMV



Alguien sabe que hay detrás de este fondo?
#2

Re: Seguimiento del Alcalá Multigestión Oricalco FI

Hola !!!
La estuve mirando recientemente, pero poco más vi.
Da cosa que la principal posicion del fondo sea participando en Data income Sicav 21de la misma gestora. Esos cruces  siempre me han parecido poco honestos con los participes.
La Sicav tenia un desempeño normalito, pero en los últimos 12 meses ha perdido casi un 50%
Historico Data Income 21


Alcanzó su máximo el 30/12/2019, y desde ahi devacle y volatilidad (cercana al 60%). En dinero, prácticamente han volatilizado 1,5 MM de euros.
En Junio 2020:




En Sept 2020:


Cubrimos Nasdaq ???


En cuanto a la salida que aludes, serán estos mismos aurelios, que van de un sitio a otro ???


S2, 
(que es hora de la cena)



#3

Re: Seguimiento del Alcalá Multigestión Oricalco FI

Buenas, estuve investigando un poco, y con lo que comentáis, comparé en Morningstar este fondo con un ETF sobre Bitcoin (en concreto  21Shares Bitcoin ETP (EUR) | 21XB - ISIN CH0454664001 ) Ahora que veo la alta correlación ya entiendo esta forma de revalorizarse para ser un fondo de inversión. Es casi casi el comportamiento del Bitcoin. Miedo me da cuando baje la criptomoneda.
SdS
 
Comparación Alcalá Multigestión Oricalco Fi y Bitcoin
#4

Re: Seguimiento del Alcalá Multigestión Oricalco FI

Bien visto !!!
Estuve por añadir en mi comentario anterior que también cabría la posibilidad de que hubieran encontrado la clave olvidada de un monedero bitcoin, en el llavero de Bob Marley (Pero ese símil es del forero @monday...).

Aparentemente, y  siendo una opinion personal totalmente discutible, son poco fieles a la filosofia de su folleto de inversión. Parece que deciden las inversiones con el criterio del que va al Bingo....


S2
#5

Re: Seguimiento del Alcalá Multigestión Oricalco FI

Es increíble lo de este fondo. Ha subido un 41,60 % en solo cuatro días.
Solo ayer subió un 15,08%
#8

Re: Seguimiento del Alcalá Multigestión Oricalco FI

Está claro han apostado por todo lo que es la minería del bitcoin al calor de las subidas recientes y los mineros al igual que en el oro suben mucho más que el activo igual que cuando baja que los mineros bajan más que el subyacente 
#9

Re: Seguimiento del Alcalá Multigestión Oricalco FI

Suma y sigue
#10

Re: Seguimiento del Alcalá Multigestión Oricalco FI

Pues esta semana ha pasado de ser un inversor particular a presentarlo en la prensa como director de inversiones de Creand AM la nueva marca de Banco Alcalá
#11

Re: Seguimiento del Alcalá Multigestión Oricalco FI

a que debe esta corrección tan fuerte estando el bitcoin ya corregido y en alza??
#12

Re: Seguimiento del Alcalá Multigestión Oricalco FI

Las empresas mineras de Bitcoin y que se dedican al blockchain son solo una parte de la cartera del fondo, lleva muchas más cosas, y mucho nasdaq, y por eso también está pasando unas semanas flojas.
#14

Re: Seguimiento del Alcalá Multigestión Oricalco FI

Nuevos compartimentos en Alcala

Creo que tendremos a una nueva entidad apoyando la creación de fondos
#15

Re: Seguimiento del Alcalá Multigestión Oricalco FI

A propósito de haber subido el hilo aprovecho para preguntar si alguien sabe donde ahora se puede mirar la cartera completa de este fondo,en morgnistar sólo se puede ver las 10 mayores posiciones y han cambiado la web del banco alcalá dónde podías ver el folleto completo con todas las posiciones en cartera.