Acceder

Seguimiento del Alcalá Multigestión Oricalco FI

31 respuestas
Seguimiento del Alcalá Multigestión Oricalco FI
Seguimiento del Alcalá Multigestión Oricalco FI
Página
2 / 3
#17

Re: Seguimiento del Alcalá Multigestión Oricalco FI

Se puede ver en la web de la CNMV. Mañana si puedo te la comparto por aquí sino la encuentras
#18

Re: Seguimiento del Alcalá Multigestión Oricalco FI

@Jorviga Muchas gracias por la información. 
Es muy complicado conseguir datos actualizados.
#19

Re: Seguimiento del Alcalá Multigestión Oricalco FI

A todo esto han lanzado hace poco un nuevo fondo ALCALA MULTIGESTION/CORNAMUSA


ES0107696066

¿Alguién puede descifrar su cartera?
#20

Re: Seguimiento del Alcalá Multigestión Oricalco FI

gracias así es más fiable su seguimiento.
#21

Re: Seguimiento del Alcalá Multigestión Oricalco FI

Hola Luis Ángel.

Cómo ves el riesgo de invertir en ese fondo ??

No me refiero al propio riesgo de mercado, con la alta exposición a criptomonedas sino el riesgo propio del fondo y la gestora y que solo 3 partícipes tengan el 80 % de la inversión (no sé si esto con el tiempo ha cambiado...)

Gracias.
#22

Re: Seguimiento del Alcalá Multigestión Oricalco FI

Yo no soy capaz de  ver en que apartado tienen los informes semestrales del fondo en 
https://creand.es/

Gracias.

Ya parece que han superado los 500 participes y es traspasable, no lo he confirmado pero desde la plataforma ironia.tech ya se puede.


#23

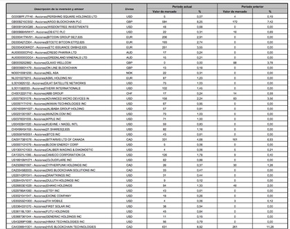
Cartera a 30/06

Yo este fondo es que no lo veo la verdad.

Paso unas capturas. Recordar que esto era un compartimento casi desconocido con un solo partícipe y ni el mínimo que invertía en fondos y compañías similares a la cartera de Cobas.

Luego en 2020 pega el pelotazo apalancado y superconcentrado y comienza a salir en todos los rankings. A pesar de que es jodido contratarlo hasta hace poco ya tiene 7 millones.

Es una mezcla de factor momentum concentrado en sectores de moda y con una rotación elevada aunque en 2021 la han "reducido"

La volatilidad está disparada con días en los que ha llegado a perder un 13% de su patrimonio y otros en los que ha ganado un 15%


Sigue teniendo un partícipe relevante que no tenemos información de si es el gestor.


Cartera a 30/06


#24

Re: Cartera a 30/06

Muchas gracias Luis Ángel.

La verdad es que es un poco opaco todo lo que transcurre alrededor de este fondo.

Saludos.
#25

Re: Seguimiento del Alcalá Multigestión Oricalco FI

Parece que ha cambiado un poco la cartera y ha introducido según morgnistar diferentes etfs de bitcoin y ethereum.

¿Alguien puede pasar la cartera actualizada?
#28

Re: Seguimiento del Alcalá Multigestión Oricalco FI

El enlace no parece ir bien, y no lo veo en la cnmv.
#29

Re: Seguimiento del Alcalá Multigestión Oricalco FI

Sale el último trimestre en la CNMV buscar oricalco CNMV y sale la cartera
#30

Re: Seguimiento del Alcalá Multigestión Oricalco FI

Al final consegui verlo, gracias.
Supongo que no lo tienes??