Terecera parte de este tema.
Aquí puedes leer la primera si te la perdiste.
Y Aquí la segunda.
Bien.
Hemos quedado en que podemos construir un intrevalo de confianza válido.
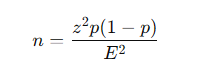
Lo voy a calcular para un valor del 95%. La fórmula sería:
p(sombrero) es lo que en el primer artículo llamé ps
De ésta fórmula necesitamos mirar el valor crítico z en la tabla de una distribución normal. En este caso z=1.96.
¿Qué datos conocemos de esta fórmula?
Por ejemplo, vamos a suponer que el sistema que estamos utilizando tiene un 60% de cumplimiento. (ps)
El nivel de confianza que queremos es del 95% (esto quiere decir que el margen de error máximo es del 5%.(E)
Lo que queremos es averiguar el número de muestra que necesitamos para este nivel de confianza: n.
Así, la fórmula sería:
Despejando n:
Y si no me he equivocado:
Resulta que para tener un grado de confianza del 95%, necesitamos una muestra de 369 operaciones.
Dato científico.
Pero lo vamos a complicar.
Porque, imagina que tu quieres adivinar el grado de confianza que tiene una muestra de trades que tu tengas.
Imaginemos que tienes 50 trades.
Y tu quieres ver cuánto fiable es eso.
(Los que me conocen saben porque he cogido el número 50).
Suponiendo que tenemos el mismo porcentaje de cumplimiento.
En este caso:
n=50.
Aplicamos la fórmula:
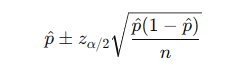
Esto quiere decir que el intervalo de confianza sería:
Esto quiere decir que el intervalo de confianza estaría entre el 46% y el 73%.
O sea, con 50 trades no tenemos nada concluyente....
Claro. Pero aquí hablamos sólamente de proproción de aciertos.
Recuerda, experimento de Bernoulli.
Pero....Esto no tiene en cuenta la Expectativa Matemática.
Es decir. Los trades no solo ganan o pierden.
Sino que algunos ganan mas y otros ganan menos.
Por tanto, para tener en cuenta esto hay que ajustar los cálculos....
¿Y cómo los ajustamos?
Lo vemos mañana....
Que esto es un tostón gordo.....
Aquí puedes leer la primera si te la perdiste.
Y Aquí la segunda.
Bien.
Hemos quedado en que podemos construir un intrevalo de confianza válido.
Lo voy a calcular para un valor del 95%. La fórmula sería:
De ésta fórmula necesitamos mirar el valor crítico z en la tabla de una distribución normal. En este caso z=1.96.
¿Qué datos conocemos de esta fórmula?
Por ejemplo, vamos a suponer que el sistema que estamos utilizando tiene un 60% de cumplimiento. (ps)
El nivel de confianza que queremos es del 95% (esto quiere decir que el margen de error máximo es del 5%.(E)
Lo que queremos es averiguar el número de muestra que necesitamos para este nivel de confianza: n.
Así, la fórmula sería:
Despejando n:
Y si no me he equivocado:
Resulta que para tener un grado de confianza del 95%, necesitamos una muestra de 369 operaciones.
Dato científico.
Pero lo vamos a complicar.
Porque, imagina que tu quieres adivinar el grado de confianza que tiene una muestra de trades que tu tengas.
Imaginemos que tienes 50 trades.
Y tu quieres ver cuánto fiable es eso.
(Los que me conocen saben porque he cogido el número 50).
Suponiendo que tenemos el mismo porcentaje de cumplimiento.
En este caso:
n=50.
Aplicamos la fórmula:
Esto quiere decir que el intervalo de confianza sería:
Esto quiere decir que el intervalo de confianza estaría entre el 46% y el 73%.
O sea, con 50 trades no tenemos nada concluyente....
Claro. Pero aquí hablamos sólamente de proproción de aciertos.
Recuerda, experimento de Bernoulli.
Pero....Esto no tiene en cuenta la Expectativa Matemática.
Es decir. Los trades no solo ganan o pierden.
Sino que algunos ganan mas y otros ganan menos.
Por tanto, para tener en cuenta esto hay que ajustar los cálculos....
¿Y cómo los ajustamos?
Lo vemos mañana....
Que esto es un tostón gordo.....