Si sigues este blog, te abrás dado cuenta que llevo 2 días sin postear.
Y no es porque no haya tenido tiempo ni que no se me hya ocurrido nada ni nunguna otra milonga.
Es simplemente porque en el último post llegué a un callejón sin salida.
Dar respuesta a esta pregunta me ha hecho sumergirme en libros, apuntes para poder dar una respuesta.
Para no dar el coñazo con todo lo que he ido viendo, voy a razonar que a´ngulo he tomado para intentar ajustar bien de manera científica todos los cálculos.
Te cuento.
Lo primero que necesitames es definir qué es un sistema rentable.
Y para eso, el mejor concepto que he encontrado es el Valor Esperado, que se define cómo:
VALOR ESPERADO (EV)= (PROBABILIDAD DE GANAR X LA GANANCIA MEDIA)-(PROBABLIDAD DE PERDER X PÉRDIDA MEDIA)
Si EV>0, podemos decir que el sistema es rentable.
Pero aquí tenemos un problema.
Que un sistema puede ser rentable (EV>0) pero tener unos bandazos grandes. Es decir, que gane mucho y pierda mucho. O o que es lo mismo. Que LA variabilidad de los resultados sea demasiado dispersa.
Este concepto en estadística se puede definir como desviación estándar.
Una vez que tenemos todos estos datos, podemos calcular con bastante precisión qué numero de trades necesitamos para saber que un sistema es fiablemente rentable.
Podría ahora explicarte todo el desarrollo de las fórmulas.
Pero voy a hacer algo mejor.
Te voy a poner un ejemplo y te lo voy a dejar hecho.
Los datos que necesitamos son:
Y no es porque no haya tenido tiempo ni que no se me hya ocurrido nada ni nunguna otra milonga.
Es simplemente porque en el último post llegué a un callejón sin salida.
Dar respuesta a esta pregunta me ha hecho sumergirme en libros, apuntes para poder dar una respuesta.
Para no dar el coñazo con todo lo que he ido viendo, voy a razonar que a´ngulo he tomado para intentar ajustar bien de manera científica todos los cálculos.
Te cuento.
Lo primero que necesitames es definir qué es un sistema rentable.
Y para eso, el mejor concepto que he encontrado es el Valor Esperado, que se define cómo:
VALOR ESPERADO (EV)= (PROBABILIDAD DE GANAR X LA GANANCIA MEDIA)-(PROBABLIDAD DE PERDER X PÉRDIDA MEDIA)
Si EV>0, podemos decir que el sistema es rentable.
Pero aquí tenemos un problema.
Que un sistema puede ser rentable (EV>0) pero tener unos bandazos grandes. Es decir, que gane mucho y pierda mucho. O o que es lo mismo. Que LA variabilidad de los resultados sea demasiado dispersa.
Este concepto en estadística se puede definir como desviación estándar.
Una vez que tenemos todos estos datos, podemos calcular con bastante precisión qué numero de trades necesitamos para saber que un sistema es fiablemente rentable.
Podría ahora explicarte todo el desarrollo de las fórmulas.
Pero voy a hacer algo mejor.
Te voy a poner un ejemplo y te lo voy a dejar hecho.
Los datos que necesitamos son:
- Número total de trades de una muestra
- Porcentaje de aciertos
- Ganancia media por trade ganador
- Pérdida media por trade ganador
- Beneficio total
- Drawdown Máximo
Bien.
Para ello voy a toma los datos de una muestra pequeña que me ha mandado uno de mis alumnos:
Con este cuadro lo tenemos todo:
- Número total de trades: 50
- Porcentaje de aciertos: 82%
- Ganancia Media por trade: 22 puntos
- Pérdida Media por trade: 41 puntos
- Beneficio total: 525 puntos
- Drawdown Máximo: 85 puntos
Bien.
Voy a ir desglosando los cálculos:
1.- Valor Esperado
2.- Desviación estándar teórica:
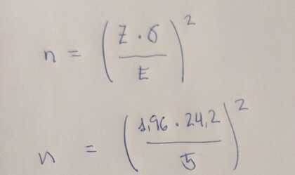
3.- ¿Cuantos trades necesitamos para fiarnos del EV?
Aquí consideramos:
Z: Es el interva,o de confianza que lo definimos en el 95%. Buscamos el valor en la tabla y es 1.96
E: EL margen de error tolerable. Lo estimaos en 5 puntos arriba y abajo.
Y con esto:
Es decir. Que se necesitan 90 trades para estimar tu EV con un margen de error de +- 5 puntos al 95% de confianza.
4.- Rachas de pérdidas probables
Esto es facil de calcular.
Simplemente es multiplicando la probabilidad de perder por las veces.
3 pérdidas seguidas: 0.18*0.18*018=0.58
Euy raro
4 pérdidas seguidas: 0.18*0.18*0.18*0.18=0.1
Extremadamente raro.
5.- El concepto clave: El intervalo de confianza.
Para estimar la incertidumbre, tomaríamos la siguiente formula:
Esto quiere decir que este sistema tiene un porcenatje de cumplimiento que va desde el 71,4% hasta el 92,6%
Creo que con este material hay de sobra para que tengas estimaciones de tus sistemas.
Yo tengo un Excell que es un cuadro de mandos con algunas estadisticas.
Y lógicamente, despues de este estudio, voy a introducir todas estas variables para tener un control efectivo sobre mi sistema.
Quizás lo regale por aquí...o no
PD: "Somos coordenadas de un par
Incógnita que aún falta por despejar "
(Antono Vega- Le gustaba el recreo)