No te voy a poner otra vez todos los enlaces.
Si no sabes de lo que estoy hablando, te vas al blog y lo buscas.
Que ya somos mayorcitos.
si pone PARTE 4 es porque antes hay otras 3, Séneca.
Vamos.
Ayer me quedé en lo de la ganancia esperada.
Te resumo.
Hasta ahora habíamos visto esto como un juego de acertar y fallar.
Pero en trading nos interesa saber ademas cuánto ganamos cuando nuestro sistema cumple y cuánto perdemos cuando falla.
Porque no vale sólo con que el sistema cumpla positivamente.
Le he dado muchas vueltas para hacer esto.
Y creo que la opción mas representativa es hacerlo mediante el Sharpe Ratio.
El Sharpe ratio es la rentabilidad por cada unidad de riesgo asumido.
Asi, la formula sería:
Sharpe Ratio = Media de todos los retornos / desviación estandar de todos los retornos.
Te voy a poner un ejemplo:
Imagina un sistema que tiene las siguientes operaciones ganadoras:
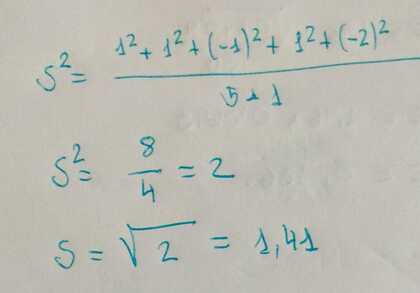
+1,+1,-1,+1,-2 (esto sería unidades de R=riesgo)
La media de todos los retrornos sería:
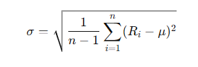
Y la fórmula de desviación estándar:
Así:
Por tanto, el sharpe de esta operación sería:
Es decir.
Que en promedio, este sistema ni gana ni pierde dinero.
O sea.
Que la ganancia esperada es cero.
Este ejemplo que he puesto es para que lo entendamos.
Pero voy a redondearlo un poco mas.
Imagina que tenemos dos sistemas:
SISTEMA A:
Media: 0,2R
Desviación estándar: 2R
Ratio Sharpe=0.1
SISTEMA B:
Media: 0,2R
Desviación estándar: 1R
Ratio Sharpe=0.2
Los dos sistemas ganan lo mismo de media.
Pero el B es el doble de eficiente estadisticamente hablando.
Por eso creo que tomar el sharpe es lo mejor.
Ahora voy al lío.
O mejor, no.
Lo dejo aquí y remato mañana....
Si no sabes de lo que estoy hablando, te vas al blog y lo buscas.
Que ya somos mayorcitos.
si pone PARTE 4 es porque antes hay otras 3, Séneca.
Vamos.
Ayer me quedé en lo de la ganancia esperada.
Te resumo.
Hasta ahora habíamos visto esto como un juego de acertar y fallar.
Pero en trading nos interesa saber ademas cuánto ganamos cuando nuestro sistema cumple y cuánto perdemos cuando falla.
Porque no vale sólo con que el sistema cumpla positivamente.
Le he dado muchas vueltas para hacer esto.
Y creo que la opción mas representativa es hacerlo mediante el Sharpe Ratio.
El Sharpe ratio es la rentabilidad por cada unidad de riesgo asumido.
Asi, la formula sería:
Sharpe Ratio = Media de todos los retornos / desviación estandar de todos los retornos.
Te voy a poner un ejemplo:
Imagina un sistema que tiene las siguientes operaciones ganadoras:
+1,+1,-1,+1,-2 (esto sería unidades de R=riesgo)
La media de todos los retrornos sería:
Y la fórmula de desviación estándar:
Así:
Por tanto, el sharpe de esta operación sería:
Es decir.
Que en promedio, este sistema ni gana ni pierde dinero.
O sea.
Que la ganancia esperada es cero.
Este ejemplo que he puesto es para que lo entendamos.
Pero voy a redondearlo un poco mas.
Imagina que tenemos dos sistemas:
SISTEMA A:
Media: 0,2R
Desviación estándar: 2R
Ratio Sharpe=0.1
SISTEMA B:
Media: 0,2R
Desviación estándar: 1R
Ratio Sharpe=0.2
Los dos sistemas ganan lo mismo de media.
Pero el B es el doble de eficiente estadisticamente hablando.
Por eso creo que tomar el sharpe es lo mejor.
Ahora voy al lío.
O mejor, no.
Lo dejo aquí y remato mañana....