Hemos escuchado muchas veces durante este año que las primas de riesgo han aumentado debido claramente al incremento de volatilidad de los activos subyacentes, cosa que vemos en la valoración de opciones; viendo las fórmulas de Black & Sholes para la valoración de una call y una put europeas.
![]()
K: Precio de ejercicio
R: Tipo de interés libre de riesgo
(T-t): Tiempo que falta a vencimiento
Call:

Put:
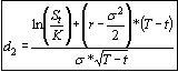
Siendo:
S: Precio del subyacente
K: Precio de ejercicio
R: Tipo de interés libre de riesgo
(T-t): Tiempo que falta a vencimiento
Y siendo d1 y d2:
Y definiendo σ (sigma) como la volatilidad implícita.
Así viendo las fórmulas, vemos como un incremento de σ (la volatilidad implícita) supone un incremento de d1 y una disminución o menor valor de d2. Puesto que si nos fijamos, aunque σ esté también en el denominador, en el numerador aparece al cuadrado, por lo que el efecto mayor es el del numerador.
De manera que al incrementar la volatilidad se incrementa el valor de d1 y al buscar luego en las tablas de la distribución normal estándar la probabilidad asociada será mayor conforme sea mayor d1, incrementando así la valoración de las primas tanto call como put.
Desde el punto de vista intuitivo, es lógico puesto que los incrementos de volatilidad hacen incrementar la probabilidad que de que el subyacente termine muy “in the money “ (dentro de dinero) o muy “out the money “ (fuera de dinero) con lo que los riesgos son mayores y por tanto las variaciones, al fin y al cabo la volatilidad es la dispersión respecto la media, sí básicamente la podríamos definir como la desviación típica.
El asunto es ¿estos incrementos de volatilidad y de primas de riesgo son verdaderamente incrementos de riesgo para el inversor en acciones?, yo diría que no lo son, puesto que el riesgo según lo veo yo y los inversores value es el margen de seguridad del que nos habla Benjamín Graham, siendo el margen de seguridad el descuento de que ofrece la acción hoy respecto su valor intrínseco. Cuanto mayor es ese descuento menor será nuestro riesgo.
De forma que como decía en mi anterior artículo sobre China, si el mercado baja y lo hace todo el mercado a la vez debido al llamado riesgo sistemático, ¿qué problema puedo tener si Pescanova baja un 10% junto con todo el mercado, pero el valor real de Pescanova es de 60 euros?, creo que debería alegrarme puesto que la bajada seguramente se deba a percepciones, miedos y fobias equivocadas sobre la acción en cuestión y ese día seguramente debería comprar más Pescanovas que nunca, puesto que ahora mismo está en los 35 euros eso es un 70% de potencial de revalorización y con esa caída de un 10% el descuento sería del 90%.
También decir que los incrementos de volatilidad, se suelen producir en las correcciones o tendencias bajistas y las disminuciones de volatilidad en los tramos alcistas o tendencias alcistas. De ahí que se diga que en los últimos años partíamos de primas de riesgo bajas, puesto que han sido mercados netamente alcistas, y que estas se han incrementado con las correcciones que han habido tanto en Marzo de este año 2007 como en Mayo del año anterior.
En cualquier caso esto no nos debería preocupar, sino que deberíamos verlo como oportunidades que el mercado nos da para comprar aquellas acciones que sabemos que valen más y tenemos bien analizadas.
2


