Acceder
Blog Estrategias de inversión a largo plazo
Blog Estrategias de inversión a largo plazo
Blog Estrategias de inversión a largo plazo

Presento el indicador “Predictable Growth Market Index”

Me gustaría compartir esta metodología para cuantificar la salud del mercado que he ido desarrollando durante los últimos cuatro años, y que me es enormemente útil. Le he dado forma de indicador, para poder compartirlo de forma fácil. Y siendo a la vez sencillo de leer e interpretar ayuda a dimensionar la exposición que debemos tener, evitando mercados desfavorables y sobreponderando mercados favorables. Se aplica únicamente al índice S&P500.

Aviso requerido por CNMV: Este artículo no pretende ser ninguna recomendación de inversión en ningún producto financiero, ni asesoramiento financiero de ningún tipo. No obtengo remuneración de ningún tipo ni el artículo presenta ningún tipo de conflicto de interés. Dispongo de International Certificate in Wealth & Investment Management de CISI reconocido por CNMV para asesoramiento/gestión de acuerdo con las exigencias de MIFID. No ocupo ningún cargo profesional en el sector financiero. En este artículo expongo mi metodología de inversión particular que aplico, tal cual la expongo, con mi propio capital.

Fuentes de datos: TIKR y TwelveData. Herramientas: software propio.

El indicador




Se basa en cuantificar semanalmente el número de empresas del S&P500 que cumplen una lista de criterios. Los criterios son un filtro para buscar empresas en las que podríamos considerar invertir por su predictibilidad, crecimiento de beneficios y precio razonable. De esta forma, este número de empresas nos cuantifica cómo de favorable o desfavorable es el mercado en ese momento para considerar invertir en él. Cuando el número de empresas es muy elevado nos da a entender que el mercado está barato y que podemos sobreponderar, si el número de empresas es bajo nos indica que el mercado está caro y debemos reducir la exposición o salir del mercado ya sea porque los beneficios empresariales se han deprimido sustancialmente o porque las valoraciones son muy elevadas y poco sostenibles. El mercado tiene también su inercia, y por ello podemos definir un periodo de tiempo en el que actuar.

Nos permite identificar periodos bajistas por depresión de beneficios, burbujas de mercado, y periodos de infravaloración. Y nos indica cómo actuar.

Funcionamiento en la práctica


Cada semana:

  • Si el número de empresas N es mayor o igual a 50, podemos sobreponderar la exposición que tenemos en el mercado, y lo haremos durante los próximos 180 días. Nos está dando a entender que en base a los beneficios empresariales y su crecimiento el mercado está barato. Cuidado: debemos leer el mercado desde otros puntos de vista por si hay algún motivo de causa mayor para que el mercado esté aparentemente barato como un crash de crédito o de materias primas que provoquen caídas profundas y continuadas, debemos evitar sobreponderar en estas situaciones, en las medias de 200 sesiones y 200 semanas hay mucha actividad de grandes inversores institucionales y las podemos utilizar como referencia y ver qué sucede ahí.
  • Si no estamos en una ventana de 180 días de sobreponderación, y si N es mayor o igual a 40, estaremos invertidos, y este será el caso habitual. Estaremos invertidos durante los próximos 180 días.
  • Si N es menor a 40, y si no estamos en ninguna ventana de 180 días, simplemente estaremos fuera del mercado. Aquí las perspectivas son muy malas, los beneficios están deprimidos o el mercado muy sobrevalorado.

En la gráfica se ven las ventanas grises en las que nos indica que debemos estar fuera del mercado, y en línea verde gruesa los periodos de sobreponderación.

No se muy bien cómo compartir esta información, si compartirla a través de mi web y cómo hacerlo exactamente, pero mi intención es actualizarlo y compartirlo semanalmente para quien esté interesado y le sea útil.

Metodología de cálculo


Puede parecer complicado de calcular y además hay que disponer de los datos, pero es la mejor forma que he encontrado de combinar los beneficios empresariales, crecimiento, valoración razonable, predictibilidad, e inflación (o tipos de interés) para poder dar un veredicto útil de la valoración del mercado.

Primero. Se utilizan los EPS normalizados de cada empresa del S&P500, ofrecidos por la propia empresa. Con los EPS de los últimos 4 ejercicios se calcula su crecimiento (k) y predictibilidad (r²) según el ajuste a la siguiente expresión (se ajustan h y k):



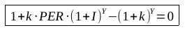
Segundo. Se calcula el número de años de retorno de la inversión (Y) en base a los beneficios normalizados teniendo en cuenta su crecimiento y la inflación, calculando Y en la siguiente expresión en donde I es el valor de inflación (o alternativamente tipo de interés) y PER es Precio/EPS actual:



Tercero. Filtro para calcular N, sobre las empresas del S&P500 se ven cuantas cumplen todos los siguientes criterios:

  • k > 0.1. Crecimiento mayor al 10%, si es menor ya no tiene sentido analizar esa empresa por su crecimiento.
  • r² > 0.95. Predictibilidad alta, si es menor ya no podemos considerar que sus beneficios son predecibles.
  • Y < 12. Retorno de la inversión menor a 12 años (CAGR>7%) que es una rentabilidad mínima razonable.
  • Sostenible a 3 años. EPS esperados por analistas dentro de 3 años superiores al último ejercicio, si no lo es significa que el crecimiento reciente ha sido simplemente circunstancial y no se espera que continúe.

¿Te ha gustado el artículo?

Si quieres saber más y estar al día de mis reflexiones, suscríbete a mi blog y sé el primero en recibir las nuevas publicaciones en tu correo electrónico.

Puedes leer más artículos míos en el blog de Invest and Trading

Accede a Rankia
¡Sé el primero en comentar!

Te puede interesar...
  1. Cinco herramientas para invertir a largo plazo
  2. Rentabilidad actualizada cartera beneficios predecibles
  3. ¿A punto del desplome? (Febrero/2020)
  4. Cómo convertirte en inversor
  5. Oro a largo plazo: una estrategia sencilla y rentable
  1. Rentabilidad actualizada cartera beneficios predecibles
  2. Cinco herramientas para invertir a largo plazo
  3. ¿A punto del desplome? (Febrero/2020)
  4. Oro a largo plazo: una estrategia sencilla y rentable
  5. Cómo convertirte en inversor