Acceder
Debe identificarse como usuario para acceder
Blog The Investor’s Moat
Blog The Investor’s Moat
Blog The Investor’s Moat

El modelo cuantitativo de la FED

En el siguiente artículo quiero hablaros sobre el “FED Model”, un símple modelo cuantitativo desarrollado por tres analistas de la Reserva Federal de Estados Unidos (Lander, Orphanides y Douvogiannis 1997) y que fue publicado en julio de 1997. Como cualquier otro modelo, nos puede servir como una herramienta más a la hora de interpretar el mercado, pero merece la pena conocer sus limitaciones prácticas.

Este modelo considera que el principal driver del ratio P/E (Price-to-earnings) es el nivel de los tipos de interés, de tal forma que establece una relación inversa entre valoración y tipos de interés. En concreto, el modelo establece que el fair-value P/E (o P/E justificado) del S&P 500 es inversamente proporcional al rendimiento a vencimiento del bono a 10 años del Tesoro de los estados unidos (10-year Treasury US bond):

Donde Y es el yield to maturity del bono del Tesoro americano a 10 años y E/P se corresponde al earnings yield del S&P 500, es decir, el inverso del ratio Price-to-equity.

¿De dónde sale esta relación?

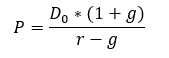
Partiendo del Gordon Growth Model, modelo de valoración por descuento de dividendos a una tasa de crecimiento constante, podemos deducir el modelo de la FED. Este modelo considera que el valor de una compañía es:

Donde P es el precio, D0 es el último dividendo, r es la tasa de descuento y g es la tasa de crecimiento de los dividendos.

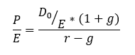
Si dividimos las dos partes de la ecuación por los beneficios, E, obtenemos:

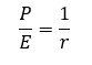
Si asumimos que el payout ratio es del 100% (todos los beneficios se reparten en forma de dividendos) y que g=0 (no existe crecimiento en los dividendos), nos queda la siguiente relación:

Es decir, la relación entre el ratio Price-to-earnings es inversamente proporcional a la tasa de descuento de los flujos, r, equivalente a la relación que describe el modelo de la FED.

Sin embargo, existen dos aspectos que le restan coherencia al modelo:

  • La tasa de descuento r del Gordon Growth Model para una compañía (o mercado) es igual a la tasa libre de riesgo (risk-free rate) más una prima de riesgo (la cual se puede calcular fácilmente por CAPM), aunque si nos ceñimos al modelo de la FED, esta prima de riesgo se elimina.
  • El modelo compara una magnitud real en términos de inflación (E/P) con una nominal (Y).

Para más información sobre el paper original se puede consultar Lander, Orphanides y Douvogiannis (1997), y sobre autores que lo han intentado rebatir se puede consultar Yardeni (1997, 1999), Abbot (2000), Asness (2003) o Feinman (2005), aunque hay muchas publicaciones al respecto.

Aplicando el modelo al mercado actual

La aplicación principal del modelo es identificar una sobrevaloración (infravaloración) del mercado cuando el earnings yield es menor (mayor) al yield del 10-year T-bond. Aunque aplicando esta relación a lo largo del tiempo no siempre se ha cumplido, desde el año 1968 se ha mantenido con una relativa precisión, tal como se puede ver en el siguiente gráfico:

10-yeat T-bond yield vs. S&P 500 E/P

Por lo tanto, necesitamos obtener el trailing P/E del S&P 500 y el yield que paga actualmente el bono americano:

  • Trailing E/P = 4.726 %
  • 10-year T-Bond yield = 0.641 %

Por lo tanto, según el modelo de la FED, el S&P 500 está infravalorado.

Está infravaloración (artificial seguramente) tiene muchas posibles explicaciones (las cuales se abordarán en siguientes artículos) de las cuales es destacable la distorsión de los precios de la renta fija y la renta variable a causa del aumento masivo en el balance de los bancos centrales en general y de la FED en particular.

Por último, merece la pena comentar que aunque el modelo seguramente esté desvirtuado por la intervención en los mercados de deuda, nos sirve para entender que los mercados de renta fija y variable son un sistema de vasos comunicantes: no podemos alterar artificialmente el mercado de deuda bajando indefinidamente los tipos de interés sin esperar un movimiento ascendente en los precios de la renta variable.

Este artículo fue previamente publicado en mi web personal Deepenomics, donde podéis suscribiros para recibir alertas cuando publique nuevos artículos.

Pablo Fernández Asensio

¿Te ha gustado mi artículo?
Si quieres saber más y estar al día de mis reflexiones, suscríbete a mi blog y sé el primero en recibir las nuevas publicaciones en tu correo electrónico
Accede a Rankia
¡Sé el primero en comentar!

Te puede interesar...
  1. La Inversión de la Curva de Tipos
  2. Una valoración alternativa de la banca española: Residual Income Model
  3. ¿Cuánto tiene que ganar Tesla para valer 1000$/acción?
  4. PVGO: ¿qué descuentan los mercados?
  5. Inditex: Efectos del Covid-19
  1. ¿Cuánto tiene que ganar Tesla para valer 1000$/acción?
  2. Inditex: Efectos del Covid-19
  3. Una valoración alternativa de la banca española: Residual Income Model
  4. La Inversión de la Curva de Tipos
  5. PVGO: ¿qué descuentan los mercados?