Tocamos la campana e inauguramos este blog en el que quiero compartir con todos vosotros mis reflexiones sobre economía, mercados y finanzas.
En este primer artículo quiero presentaros el concepto del Valor Presente de las Oportunidades de Crecimiento o PVGO (por su traducción al inglés Present Value of Growth Opportunities) y cómo su aplicación nos puede facilitar información sobre qué está descontando el precio de una acción dada.
PVGO: Present Value of Growth Opportunities
Según la teoría, el precio de un activo es equivalente a la suma del valor presente de todos los cash flows futuros que este genere. En el caso particular de una acción, el precio de la misma será el valor presente del beneficio por acción (BPA o EPS en inglés) que se produzca en el futuro.

Donde r es la tasa de descuento que, en nuestro caso, será el Coste de Capital Medio Ponderado o WACC (por sus siglas en inglés) y CFt es el cash flow en el año t, que para este ejercicio será el beneficio por acción (EPS por sus siglas en inglés).
Asumiendo que partimos de un EPS conocido para t=0 y que este crecerá a una tasa constante futura, g, la ecuación anterior se puede expresar como:

Este cociente se puede dividir en dos términos:
-
EPS0/r: representa el valor presente de los beneficios asumiendo que no existe reinversión de los mismos y, por lo tanto, son constantes a lo largo del tiempo, es decir, g=0.
-
PVGO (Present Value of Growth Opportunities): representa el crecimiento futuro de los beneficios fruto de la porción de los mismos que son reinvertidos en el crecimiento de la compañía.

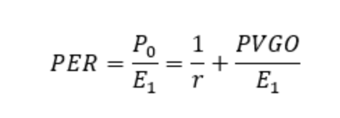
Para representar este concepto de forma más intuitiva, lo expresaremos con el ratio Precio/Beneficios o PER:

¿Qué crecimiento futuro de beneficios descuentan los mercados?
Para este análisis utilizaremos el S&P500, ya que comprende las 500 mayores empresas de Estados Unidos por capitalización bursátil y es un buen indicador de la renta variable americana.
El día 19 de febrero de este mismo año el S&P500 marcó sus máximos históricos tras cosechar el ciclo alcista más largo de la historia, alcanzando un nivel de 3393.52 puntos.
Casi dos meses y medio después, con el parón económico provocado por la pandemia Covid-19 a las espaldas, el índice ha cerrado en 3190.14 (10 de junio de 2020), lo cual se traduce en tan sólo una caída del -5.8% desde máximos.
Evolución del S&P500 a lo largo del año 2020
Utilizando la descomposición del precio que acabamos de explicar, se puede analizar qué porción del precio de una acción se corresponde al último beneficio declarado y cuál se debe a las expectativas de los inversores sobre el crecimiento futuro de los beneficios de la compañía.
Si calculamos el PVGO para las 500 acciones que componen el índice S&P500 obtenemos un PER medio de 22.44 (calculado con trailing EPS-beneficio por acción de los cuatro últimos trimestres fiscales) del cual un 79% corresponde al valor presente de los beneficios asumiendo que son constantes en el tiempo (primer término) y el 21% restante corresponde al futuro crecimiento de los mismos (segundo término-PVGO).
Si analizamos los datos con mayor detalle y separamos las 10 empresas de mayor peso en el índice, vemos como la distribución es heterogénea:

En el gráfico anterior podemos ver como las FAAG (FAANG sin Netflix), Microsoft, Visa y Mastercard incluyen en su precio una gran expectativa de crecimiento de beneficios, entre las cuales destaca Amazon que, con un precio de 114.5 veces beneficios, sólo un 13% se corresponde a los beneficios ya realizados.
En el extremo opuesto tenemos a empresas no tecnológicas como Walmart, Johnson & Johnson y JP Morgan Chase, donde destaca este último con un PVGO del -125% (tiene un PER de 11.4). Las 490 compañías restantes del índice tienen un precio medio de 11.0 veces beneficios, con un PVGO del -32%.
Por lo tanto, para la mayoría de las empresas del índice (490 de las 500 que lo componen) el mercado descuenta una caída futura de beneficios en términos generales. Sin embargo, en el caso particular de los gigantes tecnológicos (Facebook, Amazon, Apple, Google y Microsoft) y las dos empresas dominantes en medios de pago electrónicos (Visa y Mastercard) el mercado descuenta un fuerte crecimiento futuro de beneficios. Debido al gran peso que estas 7 empresas tienen en el S&P500 (18.3%), tanto el PER como el PVGO medios del índice pueden no ser totalmente representativos de las expectativas que descuenta el mercado sobre los beneficios futuros.
Y, ¿qué hay de Tesla?
Merece la pena que tratemos el caso de Tesla, ya que aún no estando dentro del S&P500, es un caso interesante al haber sufrido un rápido crecimiento en el precio de la acción (+94% en 2020) con unos pingües beneficios.
Evolución del precio de Tesla (TSLA) en el año 2020
A cierre del martes (10/06/2020) Tesla cotizaba en 1025$ por acción, que con unos beneficios por acción (Trailing EPS) de 0.16$ nos da un PER de… 6406!
Es sabido que las expectativas que tienen los inversores(?) en Tesla son muy altas, pero ¿hasta qué punto?
Si hacemos el mismo ejercicio, vemos como sólo un 0.15% del precio es atribuible a los beneficios actuales y el 99.85% se debe a las expectativas futuras de crecimiento. Si en vez de utilizar el EPS de los últimos 12 meses utilizamos las estimaciones de los analistas, con un EPS de 3.58$ obtenemos un precio de 286.31 veces beneficios, el cual reduce el PVGO al 96% del precio (¡qué alivio!).
Por lo tanto, en el sentido práctico, si un inversor tiene unas perspectivas de crecimiento de los beneficios para una compañía en concreto, puede aplicar el concepto de PVGO para estimar si el mercado está descontando dicho crecimiento futuro (PVGO alto) y si el precio de la acción refleja realmente el valor intrínseco de la misma.
Si os ha gustado el artículo no olvidéis suscribiros!!