Acceder
Blog Inversión paso a paso
Blog Inversión paso a paso
Blog Inversión paso a paso

Mercado de DERIVADOS Financieros (XXVII).- OPCIONES Financieras (XXI).- MODELOS de VALORACION

 
“En la vida, unas veces se gana, otras se aprende”
(Anónimo)

La determinación de los precios teóricos.- 


Como bien sabemos, los precios de los activos financieros cambian constantemente, dependen de la oferta y la demanda y por tanto, determinar o ponerse de acuerdo sobre el precio preciso de cualquier activo negociable, es un verdadero desafío. 

Por ejemplo, una empresa, apenas cambia su valor en el día a día, sin embargo, si está cotizada, el precio de su acción cambia casi cada segundo y es difícil determinar el precio correcto en cada momento. Sin embargo, una buena ayuda podría ser el entender cual sería el precio actual de hoy que corresponda a una recompensa futura esperada.
El precio de las opciones se basa en el resultado futuro desconocido del activo subyacente.

Saber donde estaría el mercado al vencimiento, nos permitiría fijar perfectamente el precio de cada opción hoy. Pero nadie sabe donde puede estar el precio en el futuro pero podemos sacar algunas conclusiones utilizando modelos de precios.
 
Vamos a ver un ejemplo sencillo a través de un modelo simple, para tener una idea de cuánto debería ser la prima de opción de cada strike. 

Supongamos un activo con precio 100, cuya característica es que su valor suele moverse un 1% cada mes (hacia arriba o hacia abajo). En este modelo, asumiremos que el movimiento del precio se repite todos los meses (varía un 1%) durante la vida la opción y el vencimiento ocurrirá dentro de 4 meses. 

¿Cuál es la probabilidad de cada uno de los posibles resultados de precios después de 4 meses? 

 
En este modelo sencillo, hay 16 caminos posibles que llevan a cada uno de los 5 precios. Cada camino tiene distintas rutas posibles, por ejemplo, para llegar desde 100 en Noviembre a 104 en Marzo, tenemos un único camino, y así sucesivamente, para llegar hasta 102 en Marzo, 100, 98 y 96, subiendo o bajando un 1%, cada uno de los precios posibles cada mes antes del vencimiento. 

Para aclararlo, sigamos los cuatro caminos posibles para llegar al precio de 102 en Marzo desde 100 en Noviembre, serian: 

1.    Subir a 103 y bajar a 102. 
2.    Subir a 102, bajar a 101 y subir a 102. 
3.    Subir a 101, bajar a 100, subir a 101 y subir 101. 
4.    Bajar a 99 y subir hasta 102. 

La probabilidad de alcanzar cada uno de los precios de Marzo, se puede calcular con la división del número de caminos que puede tener cada precio por el total de caminos, según vemos en la siguiente tabla. 

Así tendremos, que la probabilidad de que el precio alcance 104 o baje a 96, es de un 6,25%, un 25% de que el precio llegue a 102 o baje a 98, y un 37,5% que el precio ni suba ni baje en los 4 meses y se mantenga. 

Una vez con estas probabilidades, podemos determinar los precios para los diferentes strikes, creando una tabla con el beneficio a obtener para cada uno de ellos, sabiendo por ejemplo, que una opción Call97 para un precio del subyacente de 96, sería una opción OTM y no tendríamos beneficio. 

 
Una Call97 para un precio del subyacente de 98, sería ITM y su beneficio de 1 punto, si el precio alcanza los 100, el beneficio es de 3 puntos, en 102 se tienen 5 puntos y si llega a 104, el beneficio es de 7 puntos. 

Para encontrar el pago por probabilidad ponderada, tenemos que multiplicar la probabilidad para cada punto de precio por su beneficio y así sucesivamente, resultando un precio teórico final para la Call97 de 3,0625, que es la suma de todos ellos. 

La tabla ejemplo para cada Strike quedaría: 

 
Observamos, por ejemplo, que el Strike Call103 tiene un valor menor (0,0625) que el Strike Call101 (0,4375), pues tiene una probabilidad mucho menor de ser ITM. 

Este sería un ejemplo sencillo para determinar el precio con movimientos de una cantidad determinada del 1% arriba o abajo durante un período de tiempo. Incluso los modelos mas complejos y avanzados, solo determinan estimaciones del precio de la opción basadas en suposiciones sobre el futuro. Pero no dejan de ser una ayuda. 

La teoría de precio de opciones.- 


La teoría del precio de las opciones utiliza las variables que conocemos (precio del activo subyacente, strike, tipo de interés, tiempo a vencimiento) para valorar teóricamente una opción. Nos proporciona una estimación del valor razonable. 

Entre los modelos matemáticos más conocidos y utilizados, están: Modelo Black-Scholes, Precio de Opciones Binomiales y Simulación Monte-Carlo. Todos con amplios márgenes de error debido a que derivan valores de otros activos. 

El objetivo principal de estos modelos es calcular la probabilidad de que la opción se ejerza o llegue a ITM al vencimiento. Sin embargo, aunque el precio real de una opción (determinada en un mercado abierto), puede diferir del valor teórico calculado, como inversor, nos puede permitir beneficiarnos de la probabilidad de negociar una opción. 

Tener una estimación del valor razonable de una opción, nos sirve para poder ajustar estrategias comerciales y carteras de nuestras inversiones, ya que determinará el precio de la opción hoy en función de las condiciones esperadas en el futuro. 

El uso de estos modelos matemáticos, nos ayuda a poder realizar un análisis de beneficios y pérdidas teóricas de nuestra estrategia, analizar la volatilidad implícita y su influencia en los precios de las opciones, así como tener una estimación de riesgos a través de las griegas. 

En términos simples, el precio justo de una opción es la probabilidad de que la opción expire en el dinero multiplicado por el pago de la opción en la fecha de vencimiento. 

Veamos el siguiente gráfico: 

 
Las barras verticales simulan los cambios de precios diarios de un subyacente durante 10 años (con una media de 0 y una desviación estándar de 1). La línea azul representa el coste de una opción Call en su 'fecha de vencimiento. 

El conjunto más probable de cambios de precios ocurre alrededor del punto ATM y, por lo tanto, las opciones ATM tienen un delta de 0.50; en este punto, existe una probabilidad del 50% de que el subyacente esté por encima de este punto para cuando la opción caduque. Si el subyacente tiene una mayor distribución de retornos diarios (mayor volatilidad), entonces es más probable que la opción expire ITM y, por lo tanto, tenga una valoración más alta. Por el contrario, si los cambios en el precio del subyacente se limitan a un rango de negociación estrecho (baja volatilidad), el precio de la opción será más bajo, ya que es menos probable que el subyacente salte y caduque por encima del precio de ejercicio de la opción de compra. 

Los modelos de precios de opciones son herramientas de valoración que intentan describir numéricamente este gráfico, generando un precio de valoración para la opción en los términos actuales. 

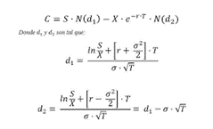
Calculadora de Precios Teóricos de Opciones (Black&Scholes).- 


No voy a reflejar, ni siquiera a explicar las distintas fórmulas para el cálculo de las griegas, ya que en internet podemos encontrar multitud de calculadoras de precios teóricos de opciones basadas en el modelo Black&Scholes. Incluso nos podemos crear una sencilla y personalizada calculadora en una hoja de excel. 

Solo indicar que es un modelo venerado en el mercado financiero, a pesar de sus limitaciones, en el que a través de la entrada al modelo de las variables del precio de mercado del activo subyacente, el precio de ejercicio o strike elegido, el tipo de interés, la volatilidad implícita, el dividendo del activo subyacente y el número de días hasta el vencimiento, con los distintos cálculos matemáticos, nos ofrece como salida, un montón de resultados entre los que están las griegas que hemos visto y conocemos y el precio teórico de la opción ya sea de compra o de venta para el strike seleccionado. 

 
 
Este modelo asume que las opciones son de estilo europeo (ejecutables solo al vencimiento), sin tener en cuenta la ejecución de opciones de estilo americano, en cualquier momentos antes del vencimiento, incluido el día de su vencimiento. 

Modelo Binomial para el cálculo del precio teórico de opciones.- 


Otro modelo de precios de opciones es el conocido como Modelo Binomial de valoración de opciones, que utiliza un procedimiento iterativo mediante puntos en el tiempo entre la fecha actual y la fecha de vencimiento de la opción junto a los posibles movimientos (binomial) en el precio (sube o baja). Este modelo intuitivo, se utiliza igual que el anterior y puede utilizar ambos estilos de opciones ya que trata de verificar el valor de la opción en cada momento de su vida. 

También podemos encontrar multitud de calculadoras binomiales en internet e incluso realizarnos una sencilla en excel para uso personal. 

 
Como hemos visto, predecir cómo una prima de opciones podría cambiar de valor a medida que cambian las diferentes variables que hemos visto, no es una ciencia exacta. Pero comprender mejor las griegas nos ayudará a tener una idea de cómo se puede comportar el precio de la opción en diversidad de condiciones. 

Espero y deseo que muchos de los seguidores/lectores, aprendan a defenderse en el mercado de las opciones con la lectura de estos posts. Soy consciente de la multitud de términos y que se necesita leerlos una y otra vez hasta conseguir entenderlos correctamente y lograr manejarlos y practicar sin problema. Mucho ánimo y no decaer en el intento.
 
Mis mejores deseos para todas vuestras inversiones @inversenjuego. 
«No hay viento favorable para el barco que no sabe adónde va». https://inversionenjuego.wordpress.com/
Lecturas relacionadas
Mercado de DERIVADOS Financieros (XXVI).- OPCIONES Financieras (XX).-RHO: La hermana menor
Mercado de DERIVADOS Financieros (XXVI).- OPCIONES Financieras (XX).-RHO: La hermana menor
Mercado de DERIVADOS Financieros (XXIV).- OPCIONES Financieras (XVIII).-VEGA y la Volatilidad (III).
Mercado de DERIVADOS Financieros (XXIV).- OPCIONES Financieras (XVIII).-VEGA y la Volatilidad (III).
Mercado de DERIVADOS Financieros (XII).- OPCIONES Financieras (VI)- LA PRIMA
Mercado de DERIVADOS Financieros (XII).- OPCIONES Financieras (VI)- LA PRIMA
Accede a Rankia
¡Sé el primero en comentar!

FRASES: “Cada día me miro en el espejo y me pregunto: Si hoy fuese el último día de mi vida, ¿querría hacer lo que voy a hacer hoy?. Si la respuesta es no durante demasiados días seguidos, sé que necesito cambiar algo” (Steve Jobs) "El mejor líder es aquel cuya existencia no nota la gente. El siguiente mejor es al que la gente respeta y alaba. El siguiente es el que la gente teme; y el último es al que odia. Cuando el trabajo del mejor líder está acabado, la gente dice: Lo hicimos nosotros mismos." (Lao-Tzu)
Te puede interesar...
  1. Vuelven los lunes de "INVERSION PASO A PASO"
  2. Es el Momento
  3. MIS MANDAMIENTOS en el Mercado de Opciones Financieras.-
  4. Presentación del blog
  5. Mercado de DERIVADOS Financieros (XXIX).- OPCIONES Financieras .- Estrategias con Opciones (I).
  1. ANALISIS TECNICO: Ondas de ELLIOTT - Un análisis complejo.
  2. Renta Variable (IV). Uso de la Estadística para analizar el riesgo. Primeros Pasos
  3. RENTA VARIABLE (III).- Análisis del Riesgo Bursátil.-
  4. Mercado de Derivados Financieros.- INTRODUCCION.-
  5. RENTA VARIABLE (VIII): ¿Cómo entender las cuentas de una empresa?