La información es liberadora.
Kofi Annan.
Acabo de ver un tio en Twitter que recomendaba una web para visualizar las compras y las ventas de los "insiders", esos que están "en el ajo".

La web, es esta: https://www.insiderscreener.com/en/
Es simplona, por decir algo suave. La típica web en fase Beta de un informático aburrido y pobretón que quiere sacarse una perrilas extra y no sabe cómo. Básicamente lista las compras y las ventas de los insiders de cada empresa, y también las señala encima de un gráfico del precio.
De hecho, le he escrito recomendándole que añada alguna función más, cómo graficar por sectores/índices la relación entre compras/ventas totales de los insiders.
Por otro lado, hay que pensar que, en relación a las ventas, esta bastante aceptado que no predicen gran cosa. Los insiders venden porque necesitan dinero. Como todos nosotros. Esa casa nueva, el divorcio, un Porsche (o un Tesla sí eres un neopijo), una fiesta en las Vegas, la amante veinteañera que te sale por un ojo de la cara, en fin... Nunca sabes porque venden. Pero solo hay una razón para comprar: Ganar dinero.
Pero...
¿Tienen las compras de los insiders poder predictivo?
Vamos a verlo.
LA ESTRATEGIA
Ordenaré las acciones poniendo en primera posición a las que más compras han tendido por parte de los insiders y las compararé con el rendimiento del S&P500, durante los últimos 20, 10 y 5 años.
Compraré 20 empresas. Rebalanceo una vez al año.
Exploraré los siguientes factores:
- Insider number of BUY transactions in the past 6 months
- Insider total shares purchased past 6 months (positive number in millions)
- Insider total shares net in the past 6 months (positive or negative number in millions)
Variaré el peso de los tres factores dentro del ranking a fin de alternar el peso de los mismos y comprobar cada factor por separado.
El resultado final, expuesto en el análisis, será el de la combinación de los tres factores, ya que los tres factores se comportan de forma muy similar al actuar aislados o conjuntamente.
EL ANÁLISIS
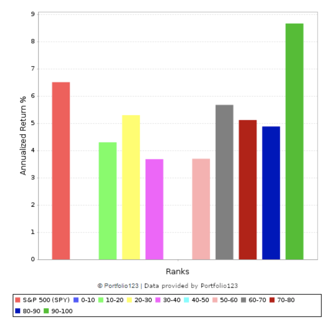
Últimos 20 años:

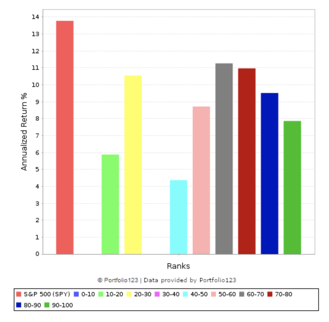
Últimos 10 años:

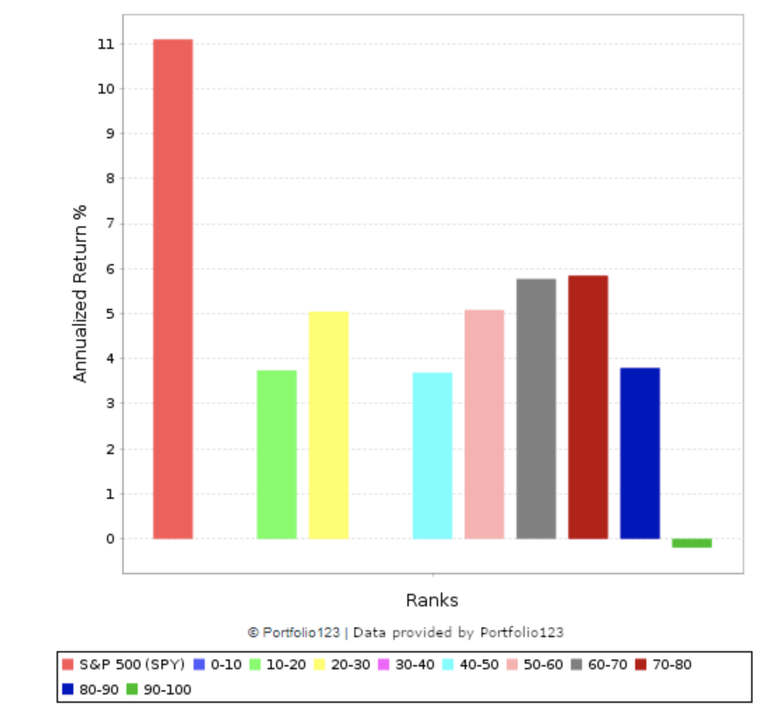
Últimos 5 años:

LA CONCLUSIÓN
Hace 20 años, mirar QUIÉN había comprado QUÉ funcionaba, y funcionaba muy bien. Por eso en tantos libros, escritos hace décadas, las compras de los insiders se consideran un factor a tener en cuenta, y con razón.
Hoy en día, o al menos durante los últimos 5 años, las compras de los insiders, tienen tanto peso en la cotización futura cómo un cesto de pimientos dejado en la puerta de la empresa. Cero.
Y ya está. Hasta aquí el artículo de hoy. Vigilad ahí fuera, que no os cuenten trolas.