Acceder

Información de CAT

CAT
Debe identificarse como usuario para acceder
Las siglas CAT hacen referencia al coste total anual de un crédito. Cuando pedimos un crédito, no sólo es la tasa de interés lo que debemos tener en cuenta para calcular su costo. Existen además otros costes, como por ejemplo los de apertura, u otros de carácter mensual con los que cuentan algunos bancos…etc. 
 
Pues bien, el CAT lo que hace es calcular una medida estandarizada para calcular el costo financiero de un crédito, que incluye no sólo la tasa de interés, sino todos estos gastos relacionados que os hemos comentado: comisión por apertura, cuota anual, mensualidad de seguros…etc. 
 
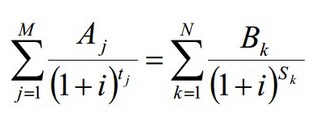
La fórmula que calcula el CAT sería la siguiente:
 
Fórmula cálculo CAT
 
El CAT está expresado en términos porcentuales, como si fuera una tasa de interés pero que incluye todo. Es muy útil a la hora de comparar créditos de diferentes bancos, porque de forma intuitiva nos indica qué crédito es más caro y cuál lo es menos. 
No obstante, para su cálculo habrá que tener en cuenta el cliente concreto para el que se calcula, ya que cada persona tomará un monto de crédito diferente. 

Artículos sobre CAT

El Comité Asesor Técnico del Ibex (CAT) se reune cada trimestre para decidir quiénes son los integrantes del Ibex 35 y ver si hay alguna salida o entrada nueva, y hoy se va a producir esa reunión. Hace solamente un año que salió fue DIA y ocupó su...